リボースの分子軌道

リボースは,ヌクレオチド類の構成成分であるゆえに種々の酵素反応の基質となる.
種々の酵素反応とリボースの構造を関連させて理解することを目指して,リボースおよびリボース 1-リン酸の分子軌道を計算してみた.

反応部位を化学種で言えば,アルデヒド基,1 級および 2 級ヒドロキシ基である.
ただし,リボースには五変異性体が存在する,アルドペントース型と環状ヘミアセタール型の構造をとり,環状ヘミアセタール型には α 型と β 型のアノマーが存在する.

1-位がリン酸化される場合,ヘミアセタール型のみ 1-位の炭素原子上に LUMO が分布する.

インフォメーション

目次(ページ内リンク)


解釈のまとめ
方法
α-ヘミアセタール型リボースの分子軌道
β-ヘミアセタール型リボースの分子軌道
アルドペントース型リボースの分子軌道
リボース 1-リン酸の分子軌道

解釈のまとめ

リボースについて計算結果の解釈をまとめる.

α-ヘミアセタール型

β-ヘミアセタール型

アルドペントース型


方法

計算条件を下に示す.

ソフトウェア

α-ヘミアセタール型リボースの分子軌道

HOMO

α-ヘミアセタール型リボースの HOMO

画像は,α-ヘミアセタール型リボースの HOMO である.
5'-ヒドロキシ基上に HOMO が分布している.
小さいながら,3'-ヒドロキシ基上にも HOMO が分布している.

「α-ヘミアセタール型リボースの 5'-ヒドロキシ基と 3'-ヒドロキシ基は求核剤となる」と解釈しておく.

LUMO

α-ヘミアセタール型リボースの LUMO

画像は,α-ヘミアセタール型リボースの LUMO である.
ヘミアセタール基の炭素上に LUMO が分布している.

「α-ヘミアセタール型リボースのヘミアセタール基は,求電子剤となる」と解釈しておく.


β-ヘミアセタール型リボースの分子軌道

HOMO

β-ヘミアセタール型リボースの HOMO

画像は,β-ヘミアセタール型リボースの HOMO である.
5'-ヒドロキシ基上に HOMO が分布している.

「β-ヘミアセタール型リボースの 5'-ヒドロキシ基は求核剤となる」と解釈しておく.

LUMO

β-ヘミアセタール型リボースの LUMO

画像は,β-ヘミアセタール型リボースの LUMO である.
2'-位の水素上の LUMO の軌道が大きい.
ヘミアセタール基が求電子剤となるとは解釈できなかった.

「β-ヘミアセタール型リボースのヘミアセタール基は,求電子剤とはならない」と解釈しておく.

リボースの 2'-位の水素が引き抜かれる反応がありそうであるが.


アルドペントース型リボースの分子軌道

HOMO

アルドペントース型リボースの HOMO

画像は,アルドペントース型リボースの HOMO である.
アルデヒド基のカルボニル酸素と 3'-ヒドロキシ基上に HOMO が分布している.

「アルドペントース型リボースの 3'-ヒドロキシ基は求核剤となる」と解釈しておく.

LUMO

アルドペントース型リボースの LUMO

画像は,アルドペントース型リボースの LUMO である.
1'-位のカルボニル炭素上に LUMO が分布している.

「アルドペントース型リボースのアルデヒド基の炭素は,求電子剤となる」と解釈しておく.


リボース 1-リン酸の分子軌道

ヌクレオチド合成の最初の段階,リボースの N-グリコシド化について考えてみる.
ここでは,リボースの C1 位がリン酸化された場合に,求核剤の攻撃を受けやすいか否かを LUMO の形状によって評価する.

ヘミアセタール誘導体

ヘミアセタール誘導体リボースの LUMO

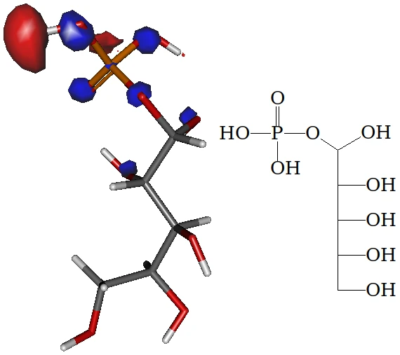
画像は,α-ヘミアセタール型リボースの 1 位がリン酸化された分子の LUMO である.
α-ヘミアセタール型リボースの LUMO と同様,1 位の炭素上に LUMO が分布している.
したがって,1 位の炭素は求核攻撃を受けると考えられる.

ヌクレオチドの場合は,オロト酸やグルタミンが求核剤となるわけである.
求電子剤は,リボース 1-リン酸ではなくホスホリボシルピロリン酸である.

アルドペントース誘導体

アルドペントース誘導体リボースの LUMO

画像は,アルドペントース型リボースの 1 位がリン酸化された分子の LUMO である.
1 位の炭素上には LUMO は分布していない.
1 位の炭素上は,求電子剤とはならないと考える.