リン酸仮説:4.酵素活性の起源
このページでは,リン酸仮説に基づいた酵素活性の起源を考える.
酵素の起源を研究する方向を 2 個想定する.
- ビルディングブロックから始めて酵素活性を有するペプチドに至る
- 現代の酵素を分析して発生したころの状況を推定する
2 については筆者が興味を持った酵素,エネルギー代謝関連酵素,ヌクレオチド形類 5'-修飾酵素,およびアミノアシル-tRNA 合成酵素をリストアップしている.
それぞれのカテゴリーに含まれる酵素は,似た反応を触媒あるいは似た基質の反応を触媒するので,進化上の関係があるのではないか.
これらの構造については,基礎研究で一部分析している.
なお,「ヌクレオチド形類」は造語である(ヌクレオチドとシュードヌクレオチドをまとめて表現する述語を知らないので).
Before : 3.プロトポリマーの成長 Next : 5.ペプチド,ヌクレオチドの伸長目次(ページ内リンク)
ビルディングブロックから酵素活性を構築する
現代の酵素 1. エネルギー代謝関連酵素
現代の酵素 2. ヌクレオチド形類 5'-修飾酵素
現代の酵素 3. アミノアシル-tRNA 合成酵素
ビルディングブロックから酵素活性を構築する
作業仮説として,次のように考える.
化学進化初期の反応は,
細胞の起源たるプロトセル(脂質様プロトポリマーを主成分にするエマルジョン)内で,ペプチドが微小環境を提供することにより,
加リン酸分解によりビルディングブロックを連結し,プロトポリマーを成長させる反応を触媒していた.
- 親水的な領域で,ポリリン酸によるカルボキシル基の「活性化」
- 疎水的な領域で,アミノリシス
Ca2+ や Mg2+ がリン酸とペプチドの相対位置を固定することにより,反応を加速するなら,補因子の起源として説明できるかもしれない.
有機酸を基質とする加リン酸分解の反応は,エネルギー代謝の形成に伴い,酸化還元活性,アルドラーゼ活性,イソメラーゼ活性に分岐していく.
ニコチン酸,フラビン,塩基類を基質とする加リン酸分解の反応は,一方でプロトポリマーからヌクレオチド類の生成反応に,もう一方で補酵素が関与する反応に分岐する.
ペプチドの生成
酵素が発生するには,ペプチドが生成せねばならない.
リン酸仮説ではペプチドを生成する反応を,単純な脱水縮合ではなく,
- ポリリン酸によるカルボキシル基の「活性化」
- 「活性化」カルボキシル基のアミノリシス
とする.この反応機構は現代の生物に引き継がれており,例えば翻訳過程でのペプチドの伸長反応はアミノリシスである.
糖のリン酸化反応
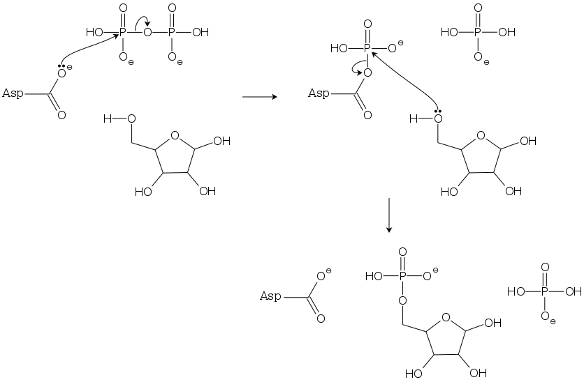
ペプチドの生成反応を進化させて,糖のリン酸化反応すなわち,キナーゼ様活性を考えてみる.
最初期の酵素活性を想像してみた.それが画像である.
糖とポリリン酸以外にアミノ酸側鎖も関与する.
これらの反応は,現代のキナーゼとは異なり,一連の反応として起こる必要はない.
カルボキシル基とポリリン酸間での脱水縮合
1 番めの反応は,「反応中間体」の生成である.図では,Asp 側鎖にリン酸-カルボン酸無水物が生成している.
これは,上で述べたペプチドの成長と同じである.
ここでは「活性中心」を Asp とした.
この反応は,換基による「酵素の活性化」とも表現できそうである.
カルボキシル基リン酸無水物のアルコリシス
2 番めの反応は,「活性化」された置換基への求核攻撃である.
その結果,酵素上の置換基は求核剤上に転移する.
この反応は,上で述べたペプチドの成長ではアミノリシスであった
アミノ酸として,Asp(Glu),His,あるいは Lys を利用すれば,現代と繋がりそうである
図では基質である高エネルギーリン酸化合物をピロリン酸として描いたが,現代では ATP となっている.
ここでの生成物には,ポリリン酸が結合したままてもよい.
酵素の分岐
上では,求核剤をリボースの 5'-OH 基として描いたが,3'-OH,2'-OH-位,あるいはヘミアセタール基の OH でも構わない.
リボースの 1'-位に対する N-グリコシル化なら,ヌクレオシドの生合成である.
リボースの 3'-位に結合したペプチドどうしのアミノリシスであれば,後者は翻訳系の起源とみなせる.
プロトセルの維持や成長に高エネルギーリン酸化合物が必要であるならば,
高エネルギーリン酸化合物の枯渇は,それらの調達する酵素を発生させるための化学進化圧となる.
あるいは,より効率的な高エネルギーリン酸化合物の産生酵素は,プロトセルの「生存競争」に有利に作用するかもしれない.
現代の酵素 1. エネルギー代謝関連酵素
上で述べたように,リン酸仮説では,初期の酵素では基質の活性化にポリリン酸(高エネルギーリン酸化合物の前駆体)を使うと考える.
したがって,エネルギー代謝関連酵素,特に高エネルギーリン酸化合物が関与する酵素を研究することにより,初期の酵素に関する知見が得られるかもしれない.
| 酵素名 | 位置 | ヌクレオチド形類 | 金属 |
|---|---|---|---|
| グリセルアルデヒド-3-リン酸デヒドロゲナーゼ glyceraldehyde-3-phosphate dehydrogenase | 解糖系 | NAD | - |
| ホスホグリセリン酸キナーゼ phosphoglycerate kinase | 解糖系 | ATP | Mg2+ |
| ホスホグリセリン酸ムターゼ phosphoglycerate mutase | 解糖系 | - | - |
| ホスホピルビン酸ヒドラターゼ phosphopyruvate hydratase | 解糖系 | - | Mg2+ |
| ピルビン酸キナーゼ pyruvate kinase | 解糖系 | ATP | Mg2+,K+ |
| 乳酸デヒドロゲナーゼ lactate dehydrogenase | 解糖系 | NAD | - |
| ホスホエノールピルビン酸カルボキシラーゼ phosphoenolpyruvate carboxylase | 連結部 | - | Mg2+ |
| ホスホエノールピルビン酸カルボキシナーゼ phosphoenolpyruvate carboxykinase | 連結部 | GDP | Mg2+ |
| ピルビン酸カルボキシラーゼ pyruvate carboxylase | 連結部 | ATP | Mg2+ |
| クエン酸シンターゼ citrate synthase | TCA 回路 | CoA | - |
| アコニターゼ aconitate hydratase | TCA 回路 | - | Fe2+ |
| イソクエン酸デヒドロゲナーゼ isocitrate dehydrogenase | TCA 回路 | NAD | Mn2+ |
| 2-オキソグルタル酸デヒドロゲナーゼ 2-oxoglutarate dehydrogenase | TCA 回路 | NAD,FAD,CoA | Mg2+ |
| コハク酸CoAリガーゼ succinate—CoA ligase | TCA 回路 | GDP | - |
| コハク酸デヒドロゲナーゼ succinate dehydrogenase | TCA 回路 | FAD | - |
| フマル酸ヒドラターゼ fumarate hydratase | TCA 回路 | - | - |
| リンゴ酸デヒドロゲナーゼ malate dehydrogenase | TCA 回路 | NAD | - |
現代の酵素 2. ヌクレオチド形類 5'-修飾酵素
リボースの 5'-OH 基およびその近傍を修飾する酵素である.
基質や生成物はお互いに似ているように見える.
これらについては,DNA/RNA の生合成との関連を含め,系統関係を検討してみたい.
Pyruvate kinase (EC 2.7.1.40)
反応(ATP の生成)
- ATP + pyruvate ⇔ ADP + phosphoenolpyruvate
類似例を挙げる.
NMP + ATP ⇔ NDP + ADP(ヌクレオシドモノホスフェートキナーゼ類)・・・(1)
NDP + XTP ⇔ NTP + XDP(ヌクレオシドジホスフェートキナーゼ類)・・・(2)
(1)は核酸塩基に対する特異性は厳密.また,(1)および(2)は,リボチドとデオキシリボチドを区別しない.
Phosphoglycerate kinase (EC 2.7.2.3)
反応(ATP の生成)- ATP + 3-phospho-D-glycerate ⇔ ADP + 3-phospho-D-glyceroyl phosphate
Nicotinamide-nucleotide adenylyltransferase (EC 2.7.7.1)
ここでは,salvage 合成に着目する.
この酵素は,ニコチン酸でも反応を触媒する.
- ATP + nicotinamide ribonucleotide ⇔ diphosphate + NAD(+)
FAD synthetase (EC 2.7.7.2)
ここでは,salvage 合成に着目する.
反応(FAD の生成)- ATP + FMN ⇔ diphosphate + FAD
Pantetheine-phosphate adenylyltransferase (EC 2.7.7.3)
反応(CoA の生成)
- ATP + pantetheine 4'-phosphate ⇔ diphosphate + 3'-dephospho-CoA
Adenylyl-sulfate kinase (EC 2.7.7.4)
画像は,PAPS(3’−ホスホアデノシン 5'−ホスホ硫酸).
ここでは,APS(アデノシン 5'−ホスホ硫酸)の生合成に注目する.
ヒトの Sulfate adenylyltransferase は, Adenylyl-sulfate kinase (EC 2.7.1.25) 反応も触媒する.
- ATP + sulfate ⇔ diphosphate + adenylyl sulfate
- ATP + adenylyl sulfate ⇔ ADP + 3'-phosphoadenylyl sulfate
UTP-glucose-1-phosphate uridylyltransferase (EC 2.7.7.9)
反応(UDP-glucose の生成)
- UTP + alpha-D-glucose 1-phosphate ⇔ diphosphate + UDP-glucose
Choline-phosphate cytidylyltransferase (EC 2.7.7.15)
反応(CDP-choline の生成)
- CTP + phosphocholine ⇔ diphosphate + CDP-choline
mRNA guanylyltransferase (EC 2.7.7.50)
真核生物限定.
反応(CAP 構造の生成)- GTP + (5')pp-Pur-mRNA ⇔ diphosphate + G(5')ppp-Pur-mRNA
DNA-directed RNA polymerase (EC 2.7.7.6)
モノヌクレオチドからみると,5'-末にポリヌクレオチドを結合する.
反応- Nucleoside triphosphate + RNA(n) ⇔ diphosphate + RNA(n+1)
DNA-directed RNA polymerase (EC 2.7.7.7)
モノヌクレオチドからみると,5'-末にポリヌクレオチドを結合する.
反応- Deoxynucleoside triphosphate + DNA(n) ⇔ diphosphate + DNA(n+1)
Polyribonucleotide nucleotidyltransferase (EC 2.7.7.8)
モノヌクレオチドからみると,5'-末にポリヌクレオチドを結合する.
反応- RNA(n+1) + phosphate ⇔ RNA(n) + a nucleoside diphosphate
現代の酵素 3. アミノアシル-tRNA 合成酵素
アミノアシル-tRNA 合成酵素は,アミノ酸とヌクレオチドとを共有結合させるという点で,タンパク質と核酸との接点となっている.
この酵素は,リガーゼ活性とともに,tRNA のアンチコドンの認識機能を有する.
クラス I とクラス II に分類される.
クラス Iとクラス IIのコドンとアンチコドンを色分けしてみた.
理由は忘れたが,A と U を両端に置いた.そのため,記載順序は教科書とは一致しないかもしれない.
クラス I
リボースの 2'-OH 基にアミノ酸を結合する.
下に例を挙げる.
これらは,PROSITE PDOC00161 を有する.
ATP + L-tyrosine + tRNA(Tyr) → AMP + diphosphate + L-tyrosyl-tRNA(Tyr).
EC 6.1.1.2 : Tryptophan-tRNA ligaseATP + L-tryptophan + tRNA(Trp) → AMP + diphosphate + L-tryptophyl-tRNA(Trp).
EC 6.1.1.4 : Leucine-tRNA ligaseATP + L-leucine + tRNA(Leu) → AMP + diphosphate + L-leucyl-tRNA(Leu).
EC 6.1.1.5 : Isoleucine-tRNA ligaseATP + L-isoleucine + tRNA(Ile) → AMP + diphosphate + L-isoleucyl-tRNA(Ile).
EC 6.1.1.9 : Valine-tRNA ligaseATP + L-valine + tRNA(Val) → AMP + diphosphate + L-valyl-tRNA(Val).
EC 6.1.1.10 : Methionine-tRNA ligaseATP + L-methionine + tRNA(Met) → AMP + diphosphate + L-methionyl-tRNA(Met).
EC 6.1.1.16 : Cysteine-tRNA ligaseATP + L-cysteine + tRNA(Cys) → AMP + diphosphate + L-cysteinyl-tRNA(Cys).
EC 6.1.1.17 : Glutamate-tRNA ligaseATP + L-glutamate + tRNA(Glu) → AMP + diphosphate + L-glutamyl-tRNA(Glu).
EC 6.1.1.18 : Glutamine-tRNA ligaseATP + L-glutamine + tRNA(Gln) → AMP + diphosphate + L-glutaminyl-tRNA(Gln).
EC 6.1.1.19 : Arginine-tRNA ligaseATP + L-arginine + tRNA(Arg) → AMP + diphosphate + L-arginyl-tRNA(Arg).
クラス II
リボースの 3'-OH 基にアミノ酸を結合する.
下に例を挙げる.
これらは,PROSITE PDOC00363 を有する.
ATP + L-threonine + tRNA(Thr) → AMP + diphosphate + L-threonyl-tRNA(Thr).
EC 6.1.1.6 : Lysine-tRNA ligaseATP + L-lysine + tRNA(Lys) → AMP + diphosphate + L-lysyl-tRNA(Lys).
EC 6.1.1.7 : Alanine-tRNA ligaseATP + L-alanine + tRNA(Ala) → AMP + diphosphate + L-alanyl-tRNA(Ala).
EC 6.1.1.11 : Serine-tRNA ligaseATP + L-serine + tRNA(Ser) → AMP + diphosphate + L-seryl-tRNA(Ser).
EC 6.1.1.12 : Aspartate-tRNA ligaseATP + L-aspartate + tRNA(Asp) → AMP + diphosphate + L-aspartyl-tRNA(Asp).
EC 6.1.1.14 : Glycine-tRNA ligaseATP + glycine + tRNA(Gly) → AMP + diphosphate + glycyl-tRNA(Gly).
EC 6.1.1.15 : Proline-tRNA ligaseATP + L-proline + tRNA(Pro) → AMP + diphosphate + L-prolyl-tRNA(Pro).
EC 6.1.1.20 : Phenylalanine-tRNA ligaseATP + L-phenylalanine + tRNA(Phe) → AMP + diphosphate + L-phenylalanyl-tRNA(Phe).
EC 6.1.1.21 : Histidine-tRNA ligaseATP + L-histidine + tRNA(His) → AMP + diphosphate + L-histidyl-tRNA(His).
EC 6.1.1.22 : Asparagine-tRNA ligaseATP + L-asparagine + tRNA(Asn) → AMP + diphosphate + L-asparaginyl-tRNA(Asn).