リン酸仮説:1.現在の材料で過去を想像する
このページでは,生命の起源 = 化学進化をモデル化するために,現代の生物の主要構成成分とそれらを縮合した物資を整理した.
その結果,生命の起源に重要な役割を果たすべき低分子は,ヌクレオチド関連化合物や糖リン酸エステルと考えた.
さらに一般化すればリン酸エステルと言えそうである.
これらを構成するモノマーを「ビルディングブロック」,ポリマーを「コンポーネント」と名付ける.
整理した結果から,大雑把な化学進化の道筋を次のように描いてみた.
- 糖とリン酸とが脱水縮合して伸長
- 糖にアミノ酸が結合し,そのアミノ酸が脱水縮合して伸長
- 糖に塩基が結合して特異性を発現
- 糖上で伸長したペプチドが特異性を発現
注.
議論を簡単にするため核酸塩基をビルディングブロックとしているが,これらはビルディングブロックとして適当かどうか疑問がある.
リボースとの N-グリコシド結合が形成されにくいからである.
これについては別のページで考える(6.ヌクレオチドの起源).
目次(ページ内リンク)
考え方
ビルディングブロックとコンポーネント
重要なコンポーネント
考え方
現代の生物が一般に利用している分子を利用する
実際の化学進化では,当時豊富に存在した物質が利用されたはずであるが,大変そうなので簡略化する.
素材を強引にまとめてみると,アミノ酸,NAD や FAD を含む塩基類,脂肪酸,糖類(グリセロールも含む),有機酸,テルペン類とする.
これらをビルディングブロックと名付ける.
ビルディングブロックは,生体構成成分だけでなく,エネルギー代謝に関与する物質も含む.
現代の生物が獲得している代謝経路や反応機構をできる限りそのまま利用する
現代に残っていない反応経路を生み出すと,それが置換した理由を説明せねばならず,面倒そうだ.
生物の進化でも不文律あるいは暗黙の前提となっている保存則の,過去への拡張である.
高エネルギーリン酸化合物としてポリリン酸を利用する
ポリリン酸は熱水噴出口で生成しているといった理由で,充分量存在すると仮定する.
限界ミセル濃度を上回るような場が与えられる
脂肪酸を主成分とするコンポーネントを想定し,それらがミセルを形成する場を想定する.
例えば.火山近くの海岸付近なら生成や濃縮が起こりやすいかも知れない.
ビルディングブロックとコンポーネント
もう少し細かく出発物質を考える.
生命を構成する高分子は,ビルディングブロックが脱水縮合した物質である.
リン酸仮説で取り扱っている生体成分について,ビルディングブロックの組み合わせと,それから生成される脱水縮合物を表にまとめた.
これら縮合物をコンポーネントと名付ける.
| - | リン酸 | 糖,アルコール | 脂肪酸 | アミノ酸 | 塩基 | 有機酸 |
|---|---|---|---|---|---|---|
| リン酸 | ATP | - | - | - | - | - |
| 糖,アルコール | 核酸,リン脂質,ATP,NAD(P)H+ と FAD(P)H2 | - | - | - | - | |
| 脂肪酸 | リン脂質 | リン脂質 | - | - | - | |
| アミノ酸 | タンパク質 | - | - | |||
| 塩基 | 核酸,ATP,NAD(P)H+ と FAD(P)H2 | (塩基対) | - | |||
| 有機酸 | エネルギー代謝の基質 |
- 核酸塩基と,NAD や FAD などを一括して「塩基」あるいは「塩基形類」と表現している:化学進化の初期には,ペプチド前駆体がこれらを認識して区別するのが難しかったはず
- 脂肪酸と有機酸を別項目にしている:生体膜の構成成分と,解糖系や TCA 回路などのエネルギー代謝の基質とを便宜上区別するためである
- 中性脂質,貯蔵多糖,テルペン類などは表に加えられなかった:テルペンはステロイドやポルフィリンの材料なので捨てがたいのであるが
- 塩基対は脱水縮合物ではないが,せっかくなので()で囲んで表に書き加えた
重要なコンポーネント
コンポーネントの中から生体成分の構築や中間代謝に重要な役割を果たしている化合物に近いものを探す.
化学進化においても,現代と同様に重要な役割を果たしたのであろう,というわけである.
リン酸エステル
上の表から最大公約数的な物質を挙げるならば,リン酸エステルである.
利用範囲は多岐にわたる(両親媒性の付与,骨格の一部,高エネルギーリン酸結合,シグナリング……).
- リン脂質
- 核酸
- 低分子の(擬)ヌクレオチド
- 中間代謝に係る一部の分子
ヌクレオチド関連化合物
画像は,アミノアシル-tRNA 合成酵素のアミノ酸結合部位付近.
ヌクレオチド関連化合物をリン酸エステル誘導体とみなす.
核酸とペプチドの両方を含むのであるが,タンパク質の翻訳(と記すべきか生合成とすべきか)の点からも両者の接点となっている.
ヌクレオチド関連化合物は多他種類存在する.
このような分子が化学進化において重要な役割を果たして,現代に引き継がれていると主張したいわけである.
- ATP
- PAPS
- NAD(P)H+
- FAD(P)H2
- CDP-コリン
- 補酵素 A
- 各種糖ヌクレオチド
- キャップ構造(真核生物)
- コバミド補酵素
糖ヌクレオチドについて
他の糖ヌクレオチドにはどのようなものがあるか.いくつか列挙する.
- ウリジン二リン酸(動物):ウリジン二リン酸グルコース,ウリジン二リン酸ガラクトース,ウリジン二リン酸-N-アセチルグルコサミン,ウリジン二リン酸グルクロン酸,ウリジン二リン酸キシロース
- グアノシン二リン酸(動物):グアノシン二リン酸マンノース,グアノシン二リン酸フコース
- シチジン一リン酸(動物):シチジン一リン酸-N-アセチルノイラミン酸
- シチジン二リン酸グルコースおよびチミジン二リン酸グルコース(植物およびバクテリア)
糖/有機酸リン酸エステル
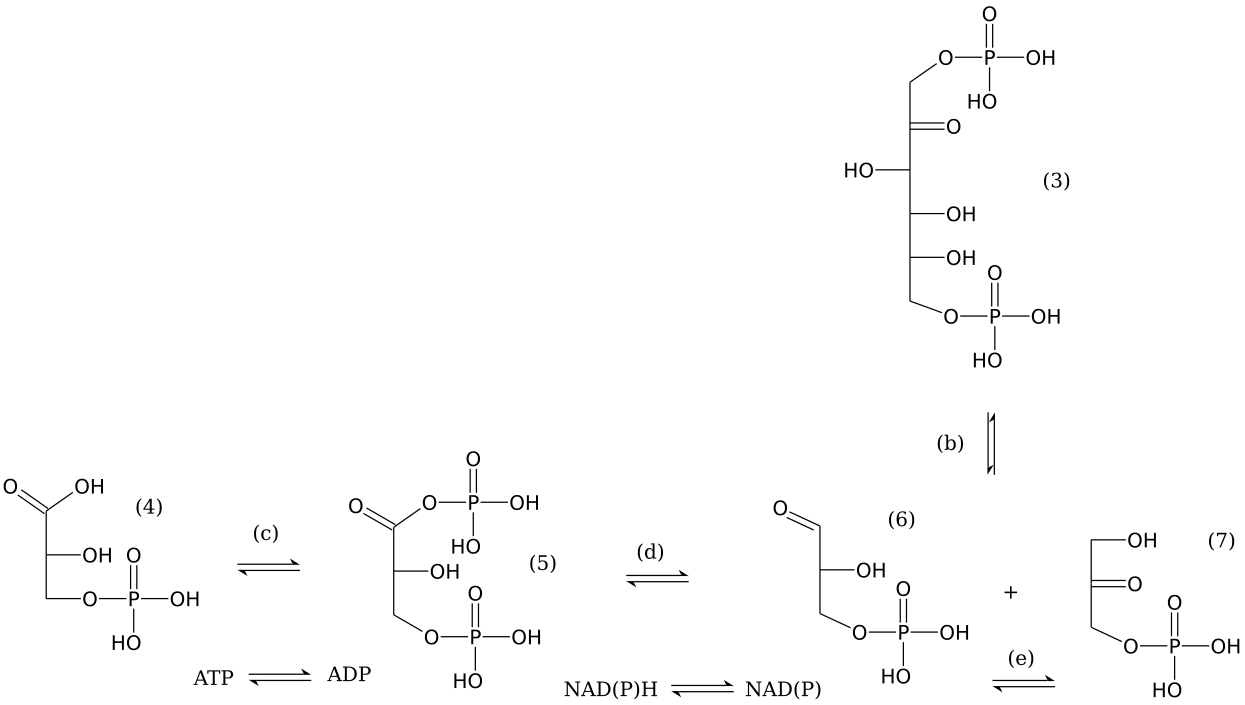
画像は,解糖系とペントースリン酸サイクルの共通部分を構造式で描いたものである.
基質の並びが共通で,流れる方向は逆.すべてリン酸エステルである.
この辺りが化学進化初期の「エネルギー代謝様反応」とでもいうべき反応を引き継いでいるのではないか,とも思える.
(3) フルクトース-1,6-ビスリン酸
(4) 3-ホスホグリセリン酸
(5) 1,3-ビスホスホグリセリン酸
(6) グリセルアルデヒド-3-リン酸
(7) ジヒドロキシアセトンリン酸
(b) Fructose-bisphosphate aldolase
(c) Phosphoglycerate kinase
(d) Glyceraldehyde-3-phosphate dehydrogenase
(e) Triose-phosphate isomerase