リン酸仮説:6.ヌクレオチドの起源

これまではストーリーを単純にするために,塩基類やヌクレオチドなどは現代に存在する物質をそのまま使ってきた.
しかし,現代の塩基類が化学進化の時代にそのままヌクレオチドの構成成分として利用されていたとは考えにくい.
A,T,G,C はそのままでは N-グリコシド結合を形成しにくいからである.

「可能な限り現代のシステムと共通性をもたせる」という原則に則って,化学進化時代のヌクレオチドの生成経路を想像する.
現代の生物では,ヌクレオチドの生合成はリボースにアミノ化合物が結合することにより開始される(サルベージ合成は別).

これに基づき,「化学進化の場におけるヌクレオチドの形成は,アミノ化合物と,ヘミアセタール基がリン酸無水物で活性化された糖との反応で始まった」とする.

Before : 5.ペプチド,ヌクレオチドの伸長 Next : 7.糖・有機酸代謝の発生

目次(ページ内リンク)


生成経路
プリンヌクレオチドの祖型
ピリミジンヌクレオチドの祖形
塩基対と遺伝暗号の祖形

生成経路

ヘミアセタール型リボース 1-リン酸の LUMO

ここで想定している経路については,リボースの分子軌道で計算化学的な手法で検討している.
リボースの 1-位のリン酸化はは,ヘミアセタール型でもアルドペントース型でも起こり得る.
しかし,リボース 1-リン酸がアミノ化合物と反応するには,ヘミアセタール型である必要がある.

画像は,計算で得たα 型ヘミアセタール型リボース 1-リン酸の LUMO である.
1-位の炭素上原子に LUMO が分布している.
リン酸残基と反対側からアミノ化合物が求核攻撃して,β-N-グルコシドとなる.


プリンヌクレオチドの祖型

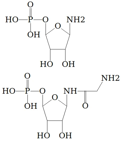
プリンヌクレオチド前駆体

塩基をリボースに直接結合する反応を考えにくいので,生合成経路の源流に代替物を求める.

プリンヌクレオチドの生合成経路において,ホスホリボシルピロリン酸(PRPP)とグルタミンからホスホリボシル-1-アミンが生成する.
この反応は,PRPP とアミノ基との反応である.

次いで,ATP 存在下でホスホリボシル-1-アミンとグリシンからホスホリボシルグリシンアミドが生成する.

ここでは,これらの化合物をプリンヌクレオチドの祖型としてみる.

前者は,リン酸-リン酸無水物とアミンとの反応,後者はリン酸-カルボン酸無水物とアミノ基との反応である.

ピリミジンヌクレオチドの祖形

ピリミジンヌクレオチド前駆体

ピリミジンヌクレオチドについても同じように,生合成経路の源流に代替物を求める.

ピリミジンヌクレオチドの骨格が現れる反応は,PRPP とオロト酸からオロチジン5'-リン酸が生成する反応である.
この反応も,PRPP とアミノ基との反応である.
これをピリミジンヌクレオチドの祖型としてみる.

オロト酸のHOMO

オロト酸のHOMO

オロト酸の分子軌道を計算してみた.
計算条件を下に示す.

計算ソフトウェア:PSI4
基底関数セット:6-31G*
汎関数:b3lyp
表示ソフトウェア:Gabedit

画像はカルボキシル基が非解離型であるオロト酸の HOMO である.オロチジン5'-リン酸としてリボースに結合する窒素上にも軌道が広がっている.
現代のピリミジンの生合成では,この軌道が求核剤として反応する.

現代の生合成経路において,プリンヌクレオチドもピリミジンヌクレオチドも,リボースに窒素原子が結合する反応は,リン酸無水物(PRPP) とアミノ基との反応である.
化学進化の場においてもヌクレオチドの形成は,糖のヘミアセタール基がリン酸無水物で活性化され,それがアミノ基と反応することによって始まったのではないだろうか.
前駆物質は,化学進化の進行に伴って核酸塩基 ATGC に収束したと考える.
化学進化の場で,オロト酸あるいはその代替物が蓄積していたことに期待しよう.

塩基対と遺伝暗号の祖形

現代の生合成経路が,化学進化時代の生成経路を引き継いでいると仮定して,
プリンヌクレオチドの祖形とピリミジンヌクレオチドの祖形は,リボースにアミノ化合物が結合した分子であったと推定してみた.
そうなら,遺伝暗号は現代と異なったものになってしまう.
この矛盾は今後の課題としておく.

プリンヌクレオチドの祖形としたホスホリボシル-1-アミンあるいはホスホリボシルグリシンアミドのアミノ基は,中性では正に帯電する.
一方,ピリミジンヌクレオチドの祖形としたオロチジン5'-リン酸のカルボキシル基は,中性では負に帯電する.
プリンとピリミジンとのペアリングがイオン結合で始まったことになってしまう.

化学進化のこの段階で遺伝コードが正(プリンの祖形)負(ピリミジンの祖形)の 2 文字コードとして形成し始めていたとするなら,
ということで思いついて確認してみると,
遺伝コードの 2 文字めがプリンであるアミノ酸は,Tyr,His,Gln,Asn,Lys,Asp,Glu,Cys,Trp,Arg,Ser,Gly であった.
親水性アミノ酸が多いようだ.
他方,ピリミジンであるアミノ酸は,Phe,Leu,Ile,Met,Val,Ser,Pro,Thr,Ala であった.
こちらは疎水性アミノ酸が多いようだ.


メモ

このページでは,現代の代謝経路と関連付けるためにヘミアセタール型の糖をリン酸化させた後,アミノ化合物と反応させた.
糖がヘミアセタールを形成していない場合,糖のアルデヒド基とアミノ化合物は直接反応する.
その例が,メイラード反応 Hodge 経路の初期段階(食品の褐変の初期段階)である.
またタンパク質のグリケーション,一例を挙げれば HbA1c(特定健康診査の測定項目)の生成反応もそうである.
次回改訂では,これらの反応と対比させつつ考えを進めてみたい.