ホスホリボシルピロリン酸合成酵素
ホスホリボシルピロリン酸(PRPP)合成酵素の PDB ファイルから酵素基質複合体を単離し,そのようすを観察した.
PRPPは,リボース 5-リン酸からヌクレオチドを生合成する反応系の最初の段階に位置している.
触媒する反応は,Mg2+ 存在下で
リボース 5-リン酸 + ATP → PRPP + AMP
このページでは,1U9Z および 6NFE という 2 個の PDB ファイルを利用した.
1U9Z には,AMP とアルドペントース型リボース 5-リン酸が含まれていた.
6NFE には,ADP と α-ヘミアセタール型リボース 5-リン酸が含まれていた.
反応モデルを構築するには,どこまでが実験結果であるのかなど,さらなる検討が必要である.
インフォメーション
PDB ファイル
PDB ファイルは,RCSB PDB: Homepage から入手した.
- 1U9Z (Deposited: 2004-08-11 Released: 2005-08-23) : Methanocaldococcus jannaschii(メタン菌)
- 6NFE (Deposited: 2018-12-19 Released: 2019-01-02) : Legionella pneumophila(レジオネラ)
ソフトウェア
分子モデルの作成は Builcule を使った.
密度汎関数法による計算は PSI4で,分子軌道の表示は Gabedit でおこなった.
目次(ページ内リンク)
基質モデル:PDB ファイルから単離した基質に水素とリン酸を付加してモデルを作成
基質モデル周辺のアミノ酸残基
リボース 1-リン酸の分子軌道(転載)
基質モデル
PDB ファイルを Builcule で編集してモデルを作成した.
水素やリン酸の付加をおこない,付加したリン酸の移動もおこなったが,オリジナルの骨格は変更していない.
リボース 5-リン酸ではないが,リボースの分子軌道で計算したかぎりでは,どちらのモデルでも,1-位の炭素は ATP による攻撃を受けうると予測できる.
LUMO の画像を再掲する.
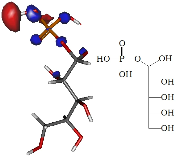
1U9Z の基質モデル
画像は,1U9Z から作成した基質モデルである.
リボース 5-リン酸はアルドヘキソース型が使われている.
水素原子は,libopenbabel の機能を使って付加した.
ファイルに記されている AMP にリン酸を 2 個結合し,カルボニル炭素が攻撃されようとしているモデルを作成した.
アルドヘキソース型リボースの LUMO
1-位のカルボニル炭素上に LUMO が分布しているので,求核攻撃されると予測する.
6NFEの基質モデル
画像は,6NFE から作成した基質モデルである.
リボース 5-リン酸は α-ヘミアセタール型が使われている.
水素原子は,libopenbabel の機能を使って付加した.
ファイルに記されている ADP にリン酸を 1 個結合した.
ヘミアセタール炭素が攻撃されようとしているモデルの作成を試みた,
γ-リン酸を移動するだけではおそらく無理である.
β-リン酸を移動すると,オリジナルの骨格を改変することになるので,ここでは試みなかった.
α-ヘミアセタール型リボースの LUMO
判り難いが,おそらく 1-位のカルボニル炭素上に LUMO が分布している.求核攻撃されると予測する.
基質周辺のアミノ酸残基
反応をイメージするために,基質分子近傍 5Å のアミノ酸残基を切り出した.
画像は,6NFE のものである.
アミノ酸を空間充填様式で,基質を棒様式で表示している.
基質は,皿型のポケットに置かれているような,開放的な構造が得られた.
右側の ADP を支えている領域が,本来の基質である ATP とリボース 6-リン酸を接近させる役割を果たすのかもしれない.
リボース 1-リン酸の分子軌道(転載)
リボースの分子軌道で考察しているように,上のどちらの構造でもリボース 1- 位上に LUMO が分布しているので,リン酸化され得る.
しかし,それに続く N-グリコシド化は,ヘミアセタール誘導体でないと起こらない(ようである).
したがって,活性中心に据えるには,ヘミアセタール誘導体が適切であると考える.
リンクよりわかりやすいと判断したので,下に転載する.
ヌクレオチド合成の最初の段階,リボースの N-グリコシド化について考えてみる.
ここでは,リボースの C1 位がリン酸化された場合に,求核剤の攻撃を受けやすいか否かを LUMO の形状によって評価する.
ヘミアセタール誘導体
画像は,α-ヘミアセタール型リボースの 1 位がリン酸化された分子の LUMO である.
α-ヘミアセタール型リボースの LUMO と同様,1 位の炭素上に LUMO が分布している.
したがって,1 位の炭素は求核攻撃を受けると考えられる.
ヌクレオチドの場合は,オロト酸やグルタミンが求核剤となるわけである.
求電子剤は,リボース 1-リン酸ではなくホスホリボシルピロリン酸である.
アルドペントース誘導体
画像は,アルドペントース型リボースの 1 位がリン酸化された分子の LUMO である.
1 位の炭素上には LUMO は分布していない.
1 位の炭素上は,求電子剤とはならないと考える.